Methods
Methodology
Machine Learning
A machine learning model can be used to accurately predict the out of stellar collisions. In this study, we use the NN model trained in González Prieto et al. 2026. Below, we summarize their methods for convenience.
A ML model can be trained for both classification and regression tasks. Classification is used to predict the number of stellar remnants that will remain after the collision. There are three possible outcomes of a stellar collision: no stars survive, 1 star survives, or both stars survive. There is also nuance in the 1-star remnant case, where the stars will either experience a merger or one star will be completely disrupted while the other one loses a large fraction of its mass in the process. Each of these cases results in unique orbital changes, so for this model, they define four classes with the labels 0, 1, 2, 3 representing a 0-star collision, 1-star merger collision, 2-star collision, and 1-star stripped collision respectively. They also train a NN on a regression task to predict the final mass of each star. To remain physically consistent, the prediction outcome of the model is the fractional mass of each star and the unbound mass after the collision, normalized to the initial total mass.
The model is trained on a grid of approximately 27720 SPH simulation of collisions involving main-sequence stars. The grid expands stellar mass values from 0.2 M⊙ to 64 M⊙ at ages ranging from 0.001 Gyr to 13.7 Gyr. The grid also includes the relative velocities of the colliding stars at 10, 100, 250, 500, 1000, 2000, 4000, 8000, and 16000 km/s and the pericenter distances of the collisions sampled from directly head-on to a grazing encounter at the sum of both stellar radii. A detailed overview of the SPH grid, as well as a comparison of different ML techniques to maximize accuracy and efficacy is described in detail in the original work.
Stellar Dynamics
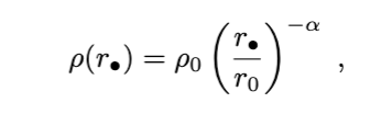
In this study, we use a model of a galactic center similar to that of the Milky Way. We can model the density of the galactic center as a function of distance from the SMBH using the power law:

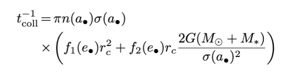
The density of stars at a point in the cluster directly affects the rate of collisions, where more stars lead to more collisions. To simulate a star in the cluster, we first adjust its orbit through relaxation. Over the course of an orbit, we can apply a velocity kick to our orbit proportional to the amount of relaxation time that is covered by one orbit. To apply our second effect, we consider the collision rate for objects based on their position in the cluster. The collision rate is given by
